1. 什么是 JWT?

JWT 全称是 JSON Web Token,由三部分组成,用点 . 隔开。例如: xxxxx.yyyyy.zzzzz

  1. Header (头部) - xxxxx

    • 内容 :记录令牌的类型(就是 JWT)和加密算法(比如 HMAC SHA256)。
    • 作用 :告诉服务器怎么去解读这张令牌,包括令牌的类型和加密算法。
  2. Payload (载荷) - yyyyy

    • 内容 :承载声明,存放实际的用户信息。一般为Subject(主体标识)、ExpiresAt(过期时间)、IssuedAt(签发时间)、Issuer(签发者)、NotBefore(生效时间)等。这部分内容是公开的,任何人都能解码看到,所以不能放密码等敏感信息。
    • 作用 :让服务器知道当前请求是谁发起的,有什么权限。
  3. Signature (签名) - zzzzz

    • 内容 :由服务器的密钥对前两部分签名,生成的防伪标识。它是通过把头部和载荷组合起来,再加上一个只有服务器知道的“密钥”(Secret),然后用头部声明的加密算法生成的。
    • 作用 :
      • 防伪 :客户端无法伪造签名,因为他们没有服务器的“密钥”。
      • 防篡改 :如果 载荷 (Payload) 里的任何信息(比如把普通用户ID改成管理员ID)被修改了,那么用同样的密钥算出来的签名就会和原始签名对不上。服务器一校验,就知道信息被改过了,就会拒绝这个请求。

这种方式是“无状态的”,服务器不需要自己存储 session 信息。

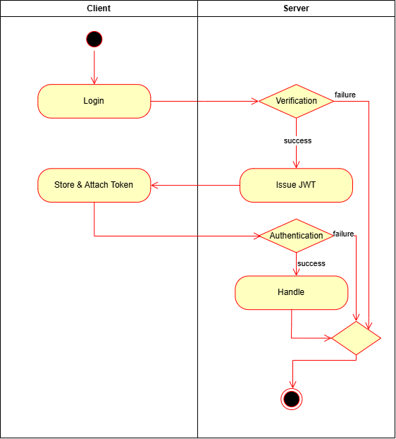
2. 工作流程

  1. 登录 :用户使用账号密码登录。
  2. 签发 :服务器验证账号密码成功后,生成一个包含用户ID等信息的 JWT(就像办了一张有时效的门禁卡),并把这个 JWT 发送给前端。
  3. 携带 :前端收到 JWT 后,把它存起来(比如存在浏览器的 localStorage )。之后每次向服务器发请求,都在请求头 Authorization 里带上这个 JWT,格式通常是 Bearer
  4. 验证 :服务器收到请求后,从请求头里拿出 JWT。用自己保存的密钥去验证这个 JWT 的签名是否正确。
    • 如果签名正确,且没过期,服务器就相信这个请求是合法的,并从 JWT 的载荷中获取用户信息,处理请求。
    • 如果签名错误或已过期,就拒绝请求(返回 401 Unauthorized 错误)。

jwt workflow

3. 后端签发/验证 JWT(go)

1
2
3
4
5
6
7
8
9
10
11
12
13
14
15
16
17
18
19
20
21
22
23
24
25
26
27
28
29
30
31
32
33
34
35
36
37
38
39
40
41
42
43
44
45
46
47
48
49
50
51
52
53
54
55
56
57
58
59
60
61
62
63
64
65
66
67
68
69
70
71
72
73
74
75
76
77
78
79
80
81
package main

import (
"net/http"
"os"
"time"
"github.com/gin-gonic/gin"
"github.com/golang-jwt/jwt/v5"
)

// definition of user struct, in gorm model

func main() {
r := gin.Default()
secret := []byte("1111111") // secret是自己设置的字符串,但实际不应明文写在代码里,实际可写在环境变量里,用secret := []byte(os.Getenv("JWT_SECRET"))读取;或者写在某配置文件里,用类似于secret := []byte(os.ReadFile(filepath.Join(".", "jwt.secret")))的方式从配置文件读取

// 注册路由组,所有 JWT 相关接口都在 /api 下
api := r.Group("/api")

// 1. 登录接口:验证用户名密码后签发 JWT
api.POST("/login", func(c *gin.Context) {
var req struct{ Username, Password string }
if err := c.BindJSON(&req); err != nil {
c.Status(http.StatusBadRequest)
return
}
// 验证用户名密码(这里简单对比,实际应使用gorm从数据库查询)
if req.Username != "user" || req.Password != "1" {
c.Status(http.StatusUnauthorized)
return
}
// 创建一个待签名的 token,签名算法指定为 HS256
token := jwt.NewWithClaims(jwt.SigningMethodHS256, jwt.RegisteredClaims{
Subject: req.Username, // 用户名/uid作为 subject
ExpiresAt: jwt.NewNumericDate(time.Now().Add(time.Hour)), // 这里设置过期时间1小时后,可以设置为其他值
IssuedAt: jwt.NewNumericDate(time.Now()),
NotBefore: jwt.NewNumericDate(time.Now()),
})
// 用密钥签名 token
s, err := token.SignedString(secret);
if err != nil {
c.JSON(http.StatusInternalServerError, gin.H{"error": "Error creating token"})
return
}
c.JSON(http.StatusOK, gin.H{"token": s})
})

// 2. 验证受保护接口
// 中间件:检查请求头 Authorization 是否包含有效的 JWT
auth := func(c *gin.Context) {
h := c.GetHeader("Authorization")
tokenStr := strings.TrimPrefix(h, "Bearer ")
if len(tokenStr) == 0 || tokenStr == h {
c.AbortWithStatusJSON(http.StatusUnauthorized, gin.H{"error": "Invalid token format"})
return
}
claims := &jwt.RegisteredClaims{}
tok, err := jwt.ParseWithClaims(tokenStr, claims, func(t *jwt.Token) (any, error) {
return secret, nil
})
if err != nil || !tok.Valid {
c.AbortWithStatusJSON(http.StatusUnauthorized, gin.H{"error": "Invalid or expired token"})
return
}
// 把用户名设置到上下文,后续处理函数可以从上下文中获取
c.Set("Subject", claims.Subject)
c.Next()
}
api.GET("/me", auth, func(c *gin.Context) {
// 从上下文获取用户名
username, ok := c.Get("Subject")
if !ok {
c.JSON(http.StatusInternalServerError, gin.H{"error": "User claims not found in context"})
return
}
// 这里是根据用户名/uid调用gorm相关查询用户信息的逻辑
//...
c.JSON(http.StatusOK, gin.H{"username": username}) //以json格式返回200状态码以及用户信息,可以根据实际情况添加其他用户信息
})
r.Run() //默认8080。也可以指定端口,如 r.Run(":3000")
}

4. 前端存储/使用 JWT(JavaScript)

这里使用 localStorage;生产更推荐使用 httpOnly+Secure 的 Cookie。

  1. 登录后存储 token
1
2
3
4
5
fetch("api/login",{
method:"POST",
headers:{"Content-Type":"application/json"},
body:JSON.stringify({username:"user",password:"1"})
}).then(r=>r.json()).then(d=>localStorage.setItem("token", d.token))
  1. 携带 token 访问受保护接口
1
2
3
4
const t = localStorage.getItem("token")
fetch("api/me",{headers:{Authorization:`Bearer ${t}`}})
.then(r=>r.json())
.then(console.log)

5. secret这个字段是干什么的?

secret 是用于签名和验证 JWT 的密钥,可以把它设置成任何你想要的字符串。这个密钥是 JWT 安全性的核心,它扮演着“盐”的角色。

“盐”是什么意思?

在密码学中,“盐”指的是一小段随机的、附加的数据 ,它被加到原始密码上,然后再一起进行哈希(hash)或加密处理。

比如做一道炒鸡蛋,这道菜的“配方”(哈希算法)是公开的。

如果没有盐,则鸡蛋( 原始数据 )直接下锅炒。因为配方公开,任何人只要拿到鸡蛋,都能炒出和一模一样味道的菜。如果一个黑客知道使用的是“123456”这个“鸡蛋”,他就能轻松“炒”出一模一样的“菜”(哈希值),从而破解密码。

而现在,在炒鸡蛋时,jwt往里面加了一撮独有的、保密的“盐”。即使别人知道用的是鸡蛋、也知道配方,但因为不知道“盐”,他就永远也炒不出一模一样的味道。

所以“盐”的核心作用有两个:

  1. 让结果独一无二。即使两个用户使用完全相同的密码(比如都是 123456 ),因为给他们分配了 不同 的“盐”,他们最终存储在数据库里的哈希值也是完全不同的。
  2. 抵御预计算攻击(如“彩虹表”) :黑客们会提前计算好常用密码(如“123456”、“password”)的哈希值,做成一张大表(彩虹表),甚至直接查表就能反推出原始密码。但如果加了“盐”,原始数据变了,这张彩虹表就完全失效了,因为黑客不可能为每一个可能的“盐”都预先计算一张表。

在 JWT 的场景里,则:

  • “鸡蛋” :是 JWT 的 Header (头部) 和 Payload (载荷)。
  • “盐” :secret
  • “烹饪方法” :是 Header 中指定的签名算法,比如 HMAC-SHA256 。
  • “炒鸡蛋” :就是 JWT 的第三部分 Signature (签名)。

它保证了:

  1. 真实性 (Authenticity) :只有知道 secret 这个“盐”的服务器才能制作出味道正确的“菜”(合法的签名)。任何伪造者都做不出来。
  2. 完整性 (Integrity) :如果有人篡改 Payload 里的内容,由于无法知道 secret,则该jwt的Signature必定和服务器根据篡改后的Payload和secret重新计算出来的Signature不一致。验证签名时就会失败,服务器就会拒绝它。